[24] Hua Lu†, Quan Zhou†, Vishal Deshmukh†, Hardeep Phull, Jennifer Ma, Virginie Tardif, Rahul R. Naik, Claire Bouvard, Yong Zhang, Seihyun Choi, Brian R. Lawson, Shoutian Zhu, Chan Hyuk Kim*, and Peter G. Schultz*, “Targeting Human C-Type Lectin-Like Molecule-1 (CLL1) with a Bispecific Antibody for Acute Myeloid Leukemia Immunotherapy”, Angew. Chem. Int. Ed. 2014, 53, 9841-9845. [PDF]

[23] Nan Zheng, Lichen Yin, Ziyuan Song, Liang Ma, Haoyu Tang, Nathan P. Gabrielson, Hua Lu, and Jianjun Cheng*, “Maximizing gene delivery efficiencies of cationic helical polypeptides via balanced membrane penetration and cellular targeting”, Biomaterials, 2014, 35, 1302-1314. [PDF]

[22] Hua Lu*, Jing Wang, Ziyuan Song, Lichen Yin, Yanfeng Zhang, Haoyu Tang, Chunlai Tu, Yao Lin*and Jianjun Cheng*, ” Recent Advances in Amino Acid N-Carboxyanhydrides and Synthetic Polypeptides: Chemistry, Self-assembly and Biological Applications”, Chem. Comm. 2014, 50, 139-155. [PDF]

[21] Hua Lu, Danling Wang, Stephanie Kazane, Tsotne Javahishvili, Feng Tian, Frank Song, Aaron Sellers, Barney Barnett and Peter G. Schultz*, “Site-specific Antibody-polymer Conjugates for siRNA Delivery “, J. Am. Chem. Soc., 2013, 135, 13885–13891. [PDF]

[20] Yanfeng Zhang, Qian Yin, Hua Lu, and Honwgwei Xia, Yao Lin Jianjun Cheng*, “PEG-Polypeptide Dual Brush Block Copolymers: Synthesis and Application in anoparticle Surface PEGylation”, ACS Macro. Lett. 2013, 2, 809-813 [PDF]

[19] Lichen Yin, Haoyu Tang, Kyung Kim, Nan Zheng, Ziyuan Song, Nathan Gabrielson, Hua Lu, and Jianjun Cheng*, “Light-Responsive Helical Polypeptides Capable of Reducing Toxicity and Unpacking DNA toward Non-Viral Gene Delivery” Angew. Chemie. Int. Ed. 2013, 52, 9182-9186. [PDF]

[18] Jing Wang, Hongwei Xia, Yanfeng Zhang, Hua Lu, Ranjan Kamat, Andrey V. Dobrynin, Jianjun Cheng* and Yao Lin*, “Nucleation-Controlled Polymerization of Nanoparticles into Supramolecular Structures”, J. Am. Chem. Soc., 2013, 135, 11417-11420. Featured as the cover art of Volume 135, Issue 31, August 7, 2013 [PDF]

[17] Jonathan Yen, Yanfeng Zhang, Nathan Gabrielson, Lichen Yin, Linna Guan, Isthier Chaudhury, Hua Lu, Fei Wang* and Jianjun Cheng*, “Cationic, helical polypeptide-based gene delivery for IMR-90 fibroblasts and human embryonic stem cell”, Biomater. Sci. 2013, 1, 719-727 [PDF]

[16] Lichen Yin, Ziyuan Song, Kyung Hoon Kim, Nan Zheng, Haoyu Tang, Hua Lu, Nathan Gabrielson, Jianjun Cheng*, “Reconfiguring the architectures of cationic helical polypeptides to control non-viral gene delivery”, Biomaterials 2013, 34, 2340-2349. [PDF]

[15] Haoyu Tang, Lichen Yin, Hua Lu, and Jianjun Cheng*, “Water-Soluble Poly(L-serine)s with Elongated and Charged Side-Chains: Synthesis, Conformations and Cell-Penetrating Properties”, Biomacromolecules 2012, 13, 2609-2615. [PDF]

[14] Nathan Gabrielson, Hua Lu, Lichen Yin, Kyung Hoon Kim and Jianjun Cheng*, “A Cell-Penetrating Helical Polymer for siRNA Delivery to Mammalian Cells “, Mol. Ther. 2012, 20, 1599-1609. [PDF]

[13] Nathan Gabrielson†, Hua Lu†, Lichen Yin, Dong Li, Fei Wang, and Jianjun Cheng*,”A Reactive Cationic α-Helical Polypeptide Template for Non-Viral Gene Delivery”, Angew. Chem. Int. Ed. 2012, 51, 1143-1147 (†equal contribution) highlighted by Chemical and Engineering News, issue of Dec. 19, 2011; reported by ScienceDaily, PhysOrg, and EurekAlert! etc. [PDF]

[12] Kuan-Ju Chen, Li Tang, Mitch Andre Garcia, Hao Wang, Hua Lu, Wei-Yu Lin, Shuang Hou, Qian Yin, Clifton K.-F. Shen, Jianjun Cheng* and Hsian-Rong Tseng*, “The therapeutic efficacy of camptothecin-encapsulated supramolecular nanoparticles”, Biomaterials 2012, 33, 1162-1169. [PDF]

[11] Hua Lu, Jing Wang, Yugang Bai, Jason Long, Shiyong Liu, Yao Lin* and Jianjun Cheng*, “Ionic Polypeptides with Unusual Helical Stability”, Nature Commun. 2011, 2, 206. Reported by NSF, ScienceDaily, PhysOrg, EurekAlert! and ChemistryViews etc. [PDF]

[10] Jing Wang, Hua Lu, Ranjan Kamat , Sai Venkatesh Pingali , Volker S. Urban, Jianjun Cheng* and Yao Lin*, “Supramolecular Polymerization from Polypeptide-Grafted Comb Polymers”, J. Am. Chem. Soc. 2011, 133, 12906-12909. Highlighted by Chemical and Engineering News, issue of Aug. 15, 2011. [PDF]

[9] Jing Wang, Hua Lu, Yuan Ren, Yanfeng Zhang, Martha Morton, Jianjun Cheng* and Yao Lin*, ” Interrupted Helical Structure of Grafted-Polypeptides in Brush-like Macromolecules”, Macromolecules 2011, 44, 8699-9709. [PDF]

[8] Hua Lu, Yugang Bai, Jing Wang, Yao Lin and Jianjun Cheng*, “Controlled Ring-Opening Polymerization of γ-(4-Vinylbenzyl)-L-Glutamate N-Carboxyanhydride for the Synthesis of Functional Polypeptides”, Macromolecules 2011, 44, 6237-6240; Featured as the cover art of Macromolecules, Volume 44, Issue16, August 23, 2011 [PDF]

[7] Yanfeng Zhang, Hua Lu, Yao Lin and Jianjun Cheng*, “Water-Soluble Polypeptides with Elongated, Charged Side Chains Adopt Ultrastable Helical Conformations”, Macromolecules 2011, 44, 6641-6644. [PDF]

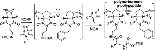
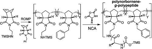
[6] Yugang Bai, Hua Lu, Ettigounder Ponnusamy, and Jianjun Cheng*, “Synthesis of Hybrid Block Copolymers via Integrated Ring-Opening Metathesis Polymerization and Polymerization of NCA “, Chem. Comm. 2011, 47, 10830-10832. [PDF]

[5] Hua Lu, Jing Wang, Yao Lin* and Jianjun Cheng*, “One-Pot Synthesis of Brush-Like Polymers via Integrated Ring-Opening Metathesis Polymerization and Polymerization of Amino Acid N-Carboxyanhydrides”, J. Am. Chem. Soc. 2009, 131, 13582-13583. Highlighted by Chemical and Engineering News, issue of Sept. 14, 2009. [PDF]

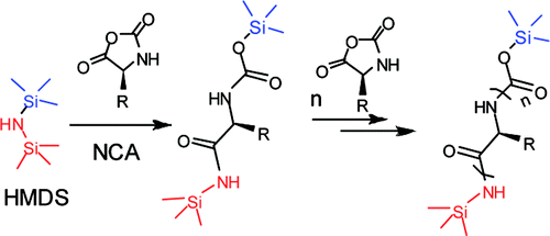
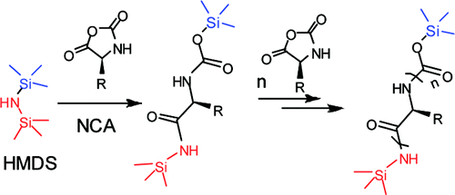
[4] Hua Lu and Jianjun Cheng*, “N-Trimethylsilyl amines for controlled ring-opening polymerization of amino acid N-carboxyanhydrides and facile end group functionalization of polypeptides”, J. Am. Chem. Soc. 2008, 130, 12562-12563. [PDF]

[3] Hua Lu and Jianjun Cheng*, “Hexamethyldisilazane-Mediated Controlled Polymerization of alpha-Amino Acid N-Carboxyanhydrides”, J. Am. Chem. Soc. 2007, 129, 14115-14116. [PDF]

[2] Xiaoyu Cao, Hong Zi, Wei Zhang, Hua Lu, and Jian Pei*, “Star-shaped and Linear Nanosized Molecules Functionalized with Hexa-peri-hexabenzocoronene: Synthesis and Optical Properties” J. Org. Chem. 2005, 70, 3645-3653. [PDF]

[1] Xiaoyu Cao, Wenbin Zhang, Jinliang Wang, Xinhua Zhou, Hua Lu, and Jian Pei*, “Extended π–Conjugated Dendrimers Based on Truxene” J. Am. Chem. Soc. 2003, 125, 12430-12431. [PDF]
